[이코테]CHAPTER 05 DFS/BFS - 스택, 큐, 재귀함수, DFS
탐색(Search) : 많은 양의 데이터 중에서 원하는 데이터를 찾는 과정
대표적인 탐색 알고리즘으로 DFS, BFS , 이 두 알고리즘을 이해하기 위해서 스택, 큐, 재귀 함수를 알아야한다.
참고자료.
https://gmlwjd9405.github.io/2018/08/03/data-structure-stack.html
스택(Stack)= 박스 쌓기
: 한 쪽 끝에서만 자료를 넣고 뺄 수 있는 LIFO(Last In First Out) 또는 LILO(Last In Last Out) 구조
- 스택 메서드( java 라이브러리)
* push(E item) : 해당 item을 Stack의 top에 삽입
* pop( ): Stack의 top에 있는 item을 삭제하고 해당 Item을 반환
* peek( ): Stack의 top에 있는 item을 삭제하지 않고 해당 item을 반환
* empty( ): Stack이 비어 있으면 true, 비어 있지 않을 경우 false를 반환
* search (Object o) : 해당 Object의 위치를 반환, Stack의 top 위치는 1, 해당 Object가 없으면 -1을 반환
- Python의 리스트 관련 메서드 활용
* append( ) : 해당 item을 Stack의 top에 삽입
* pop( ): Stack의 top에 있는 item을 삭제하고 해당 Item을 반환
stack=[]
stack.append(5)#[5]
stack.append(2)#[5,2]
stack.append(3)#[5,2,3]
stack.append(7)#[5,2,3,7]
stack.pop()#[5,2,3]
stack.append(1)#[5,2,3,1]
stack.append(4)#[5,2,3,1,4]
stack.pop()#[5,2,3,1]
print(stack)#[5,2,3,1]
#최상단 원소부터 출력
print(stack[::-1])#[1,3,2,5]
print(len(stack))
- 배열과 달리 스택은 i번째 항목에 접근 불가
- 배열처럼 원소들을 하나씩 옆으로 밀어 줄 필요가 없다.
큐(Queue)
: 먼저 온 사람이 먼저 들어가기
from collections import deque
#큐 구현하기 위해 deque 라이브러리 사용
queue = deque()
queue.append(5)#deque([5])
queue.append(2)#deque([5,2])
queue.append(3)#deque([5,2,3)
queue.append(7)#deque([5,2,3,7])
queue.popleft()#deque([2,3,7])
queue.append(1)#deque([2,3,7,1])
queue.append(4)#deque([2,3,7,1,4])
queue.popleft()#deque([3, 7, 1, 4])
print(queue)#deque([3, 7, 1, 4])
queue.reverse()#역순으로 바꾸기
print(queue)#deque([4, 1, 7, 3])
재귀 함수(Recursive Function)
: 자기 자신을 다시 호출하는 함수
def recursive_function():
print('재귀 함수를 호출')
recursive_function()
recursive_function()
팩토리얼 함수 표현하기
def factorial_function(n):
result=1
for i in range(1,n+1):
result*=i
return result
#재귀 함수 팩토리얼
def factorial_recursive(n):
if n<=1:
return 1
return n*factorial_recursive(n-1)
print(factorial_function(5))
print(factorial_recursive(5))
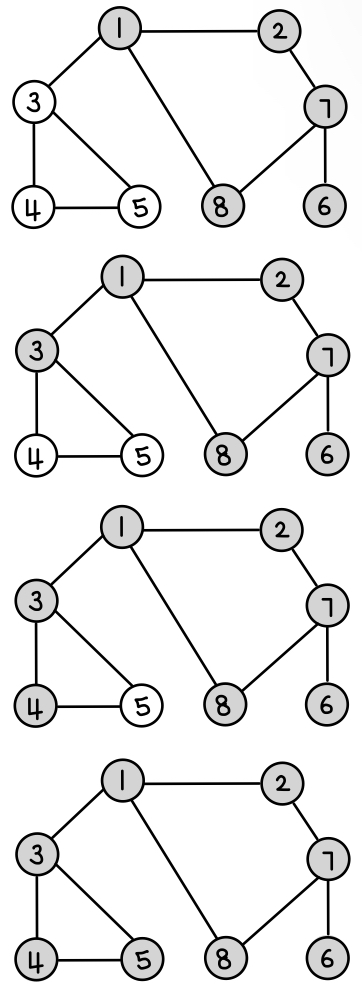
DFS (Depth -First Search ) : 깊이 우선 탐색,
그래프에서 깊은 부분을 우선적으로 탐색하는 알고리즘


1 -> 2 -> 7 -> 6 -> 8 -> 3 -> 4-> 5 순으로
def dfs(graph,v,visted):
#현재 노드를 방문 처리
visted[v]=True
print(v,end=' ')
#현재 노드와 연결된 다른 노드를 재귀적으로 방문
for i in graph[v]:
if not visted[i]:#False값일 경우
dfs(graph,i,visted)
graph=[
[],#순서 0은 없으므로
[2,3,8],#1이 연결된 노드 2,3,8
[1,7],
[1,4,5],
[3,5],
[3,4],
[7],
[2,6,8],
[1,7]
]
#각 노드가 방문된 정보를 리스트를 자료형으로 표현(1차원 리스트)
visted=[False]*9#0부터 9이므로 9개
dfs(graph,1,visted)
자바 코드(https://github.com/ndb796/python-for-coding-test/blob/master/5/8.java)
package s14_dfs;
import java.util.ArrayList;
public class e01_5_8 {
public static boolean[] visted=new boolean[9];
public static ArrayList<ArrayList<Integer>> graph = new ArrayList<>();
public static void dfs(int x){
//현재 방문한 노드 방문처리
visted[x]=true;
System.out.print(x+" ");
for(int i=0;i<graph.get(x).size();i++){
int y = graph.get(x).get(i);
if(!visted[y]) dfs(y);
}
}
public static void main(String[] args) {
// 그래프 초기화
for (int i = 0; i < 9; i++) {
graph.add(new ArrayList<Integer>());
}
// 노드 1에 연결된 노드 정보 저장
graph.get(1).add(2);
graph.get(1).add(3);
graph.get(1).add(8);
// 노드 2에 연결된 노드 정보 저장
graph.get(2).add(1);
graph.get(2).add(7);
// 노드 3에 연결된 노드 정보 저장
graph.get(3).add(1);
graph.get(3).add(4);
graph.get(3).add(5);
// 노드 4에 연결된 노드 정보 저장
graph.get(4).add(3);
graph.get(4).add(5);
// 노드 5에 연결된 노드 정보 저장
graph.get(5).add(3);
graph.get(5).add(4);
// 노드 6에 연결된 노드 정보 저장
graph.get(6).add(7);
// 노드 7에 연결된 노드 정보 저장
graph.get(7).add(2);
graph.get(7).add(6);
graph.get(7).add(8);
// 노드 8에 연결된 노드 정보 저장
graph.get(8).add(1);
graph.get(8).add(7);
dfs(1);
}
}
'Study Platform📚 > (알고리즘)- [이코테] 이것이 코딩테스트다 정리' 카테고리의 다른 글
| [이코테] CHAPTER 09 최단 경로 알고리즘 - 다익스트라 최단 경로 알고리즘 (0) | 2022.05.23 |
|---|---|
| [이코테] CHAPTER 05 DFS/BFS - BFS(deque 메서드) - Python(파이썬),Java(자바) (0) | 2022.05.18 |
| [이코테] CHAPTER 06 정렬 - 계수 정렬 (0) | 2022.05.16 |
| [이코테]CHAPTER 06 정렬 - 퀵정렬- 파이썬(Python) (0) | 2022.05.15 |
| [이코테] CHAPTER 07 이진탐색- 순차 탐색, 이분탐색/이진탐색, 이진탐색트리 (0) | 2022.05.13 |
댓글
이 글 공유하기
다른 글
-
[이코테] CHAPTER 09 최단 경로 알고리즘 - 다익스트라 최단 경로 알고리즘
[이코테] CHAPTER 09 최단 경로 알고리즘 - 다익스트라 최단 경로 알고리즘
2022.05.23 -
[이코테] CHAPTER 05 DFS/BFS - BFS(deque 메서드) - Python(파이썬),Java(자바)
[이코테] CHAPTER 05 DFS/BFS - BFS(deque 메서드) - Python(파이썬),Java(자바)
2022.05.18 -
[이코테] CHAPTER 06 정렬 - 계수 정렬
[이코테] CHAPTER 06 정렬 - 계수 정렬
2022.05.16 -
[이코테]CHAPTER 06 정렬 - 퀵정렬- 파이썬(Python)
[이코테]CHAPTER 06 정렬 - 퀵정렬- 파이썬(Python)
2022.05.15