CHAPTER 6 -번외 정렬 - 위상 정렬(Topology Sort) - Python(파이썬)
참고 자료 : https://m.blog.naver.com/ndb796/221236874984
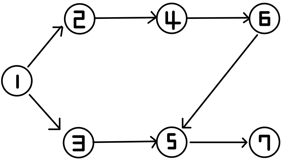
위상 정렬
: 순서가 정해져 있는 작업을 수행해야 할 때 그 순서를 정해주기 위해서 사용하는 알고리즘
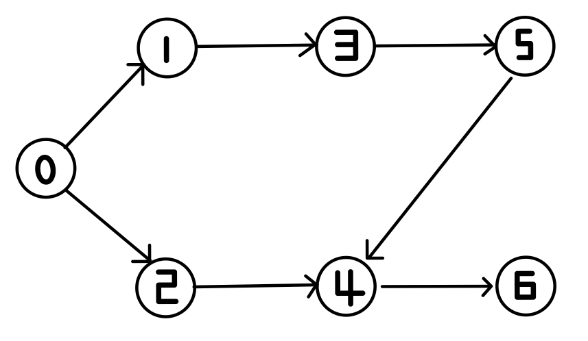
ex ]

0번 -> 1번 ->3번 -> 5번 순으로 이어진 후에 4번이 나오기 전에 2번 만족
이런식으로 그래프의 흐름이 있고 다양한 조건들이 얽혀있을 때 일렬로 그래프의 순서를 나열할 수 있어야함
ex] 0 -> 1 -> 3 -> 5 -> 2 -> 4 -> 6
1. 위상 정렬의 특징
- 여러개의 답이 존재 할 수 있다
- DAG(Directed Acyclic Graph)에만 존재(방향그래프이지만 사이클이 존재하지 않는 그래프)
-> 사이클이 발생하는 경우 위상 정렬을 수행할 수 없다. Why? 위상 정렬은 시작점이 존재해야만 사용할 수 있는 알고리즘
- 위상 정렬 문제 : ① 현재 그래프는 위상 정렬이 가능한지 ② 위상 정렬이 가능하다면 그 결과는 무엇인지
2. 큐를 이용한 위상 정렬 수행
① 진입차수가 0인 정점을 큐에 삽입 ( 진입차수 : 노드로 들어오는 다른 노드의 개수 )
② 큐에서 원소를 꺼내 연결된 모든 간선 제거
③ 간선 제거 이후에 진입차수가 0이 된 정점을 큐에 삽입
④ 큐가 빌 때까지 2번 - 3번 과정을 반복. (모든 원소를 방문하기 전에 큐가 제거될 경우 사이클이 존재)
⑤ 큐에서 꺼낸 순서가 위상 정렬의 결과
| 정점 | 0 | 1 | 2 | 3 | 4 | 5 | 6 |
| 진입차수 | 0 | 1 | 1 | 1 | 2 | 1 | 1 |
이므로 진입차수가 0인 0부터 큐에 삽입

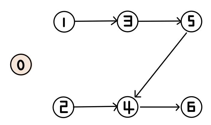
1. 진입차수가 0인 0부터 큐에 삽입

2. 큐에서 0을 꺼내 연결된 간선 제거 ( 꺼낸 수 : 0 )
| 정점 | 0 | 1 | 2 | 3 | 4 | 5 | 6 |
| 진입차수 | 0 | 1-1 = 0 | 1-1 = 0 | 1 | 2 | 1 | 1 |
3. 진입차수 표(2번,3번) 변경

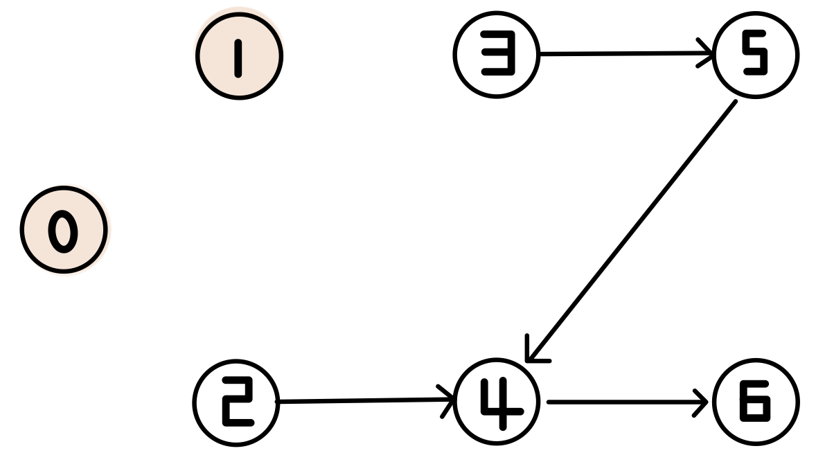
4.진입차수가 0인 1,2 큐에 삽입

5. 큐에서 꺼낸 1을 꺼낸 후 간선을 제거(꺼낸 수: 0 -> 1 )
| 정점 | 0 | 1 | 2 | 3 | 4 | 5 | 6 |
| 진입차수 | 0 | 0 | 0 | 1-1=0 | 2 | 1 | 1 |
6. 진입차수표(3번) 변경

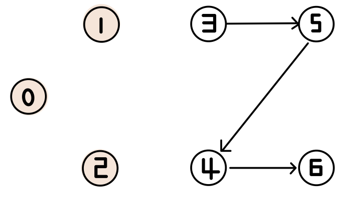
7. 진입차수가 0인 3이 큐에 삽입

8. 큐에서 2를 꺼낸 후에 간선을 제거(꺼낸 수 : 0 -> 1 -> 2 )
| 정점 | 0 | 1 | 2 | 3 | 4 | 5 | 6 |
| 진입차수 | 0 | 0 | 0 | 0 | 2-1 = 1 | 1 | 1 |
9. 진입차수표 (4번) 변경

10. 큐에는 이제 3만이 남아 있음

11. 큐에서 3을 꺼내서 간선 제거(꺼낸 수: 0 -> 1- > 2 -> 3)
| 정점 | 0 | 1 | 2 | 3 | 4 | 5 | 6 |
| 진입차수 | 0 | 0 | 0 | 0 | 1 | 1-1=0 | 1 |
12. 진입차수표 (5번) 변경

13. 진입차수가 0인 5를 큐에 삽입

14. 큐에서 5를 꺼내서 간선 제거(꺼낸 수 : 0 -> 1-> 2-> 3 -> 5)
| 정점 | 0 | 1 | 2 | 3 | 4 | 5 | 6 |
| 진입차수 | 0 | 0 | 0 | 0 | 1-1=0 | 0 | 1 |
15. 진입차수표 (4번) 변경

16.진입차수표가 0인 4를 큐에 삽입

17. 큐에서 4를 꺼내서 간선 제거( 꺼낸수: 0 -> 1-> 2-> 3-> 5-> 4 )
| 정점 | 0 | 1 | 2 | 3 | 4 | 5 | 6 |
| 진입차수 | 0 | 0 | 0 | 0 | 0 | 0 | 1-1=0 |
19. 진입차수표 (6번) 변경

20. 진입차수표가 0인 6를 큐에 삽입

21. 큐에서 6을 꺼내서 간선을 제거해야하지만 없으므로 끝 (꺼낸 수 : 0 -> 1-> 2-> 3-> 5-> 4 ->6)
참고 자료 : https://freedeveloper.tistory.com/390
| 입력 예시 7 7 ( 노드의 수 | 간선의 개수 ) 1 2 ( 1-> 2 ) 1 3 ( 1 ->3 ) 2 4 ( 2 ->4 ) 3 5 ( 3 ->5 ) 4 6 ( 4 ->6 ) 5 7 ( 5 ->7 ) 6 5 ( 6 ->5 ) |
출력 예시 1 2 3 4 6 5 7 |

💻 Python(파이썬)
import sys
from collections import deque
#노드의 개수, 간선의 개수 입력 받기
v,e = map(int,sys.stdin.readline().split())
#진입차수표( 노드의 수 +1 )
table = [0]*(v+1)
#노드 연결 정보 리스트( 노드의 수 +1 )
graph = [[] for _ in range(v+1)]
#간선 개수만큼 간선 정보를 입력 받기
for _ in range(e):
a,b = map(int, sys.stdin.readline().split())
graph[a].append(b)#A -> B
table[b]+=1 #진입차수표도 하나씩 증가
#위상 정렬 함수
def toplogy_sort():
#큐 구현
q = deque()
#처음 시작 시 진입차수가 0인 노드를 큐에 삽입
for i in range(1,v+1):
if table[i]==0:
q.append(i)
#큐가 빌때까지 수행
while q:
#제일 왼쪽에 있는 큐를 pop
now = q.popleft()
#now와 연결된 그래프
for i in graph[now]:
table[i]-=1#1씩 제거
#진입차수가 0인 값은 큐에 다시 삽입
if table[i]==0:
q.append(i)
#now 값 print
print(now,end=" ")
toplogy_sort()
💻 Java(자바)
import java.util.*;
public class Main {
// 노드의 개수(V)와 간선의 개수(E)
public static int v, e;
// 모든 노드에 대한 진입차수는 0으로 초기화
public static int[] table;
// 각 노드에 연결된 간선 정보를 담기 위한 연결 리스트 초기화
public static ArrayList<ArrayList<Integer>> graph = new ArrayList<ArrayList<Integer>>();
// 위상 정렬 함수
public static void topologySort() {
Queue<Integer> q = new LinkedList<>(); // 큐 라이브러리 사용
// 처음 시작할 때는 진입차수가 0인 노드를 큐에 삽입
for (int i = 1; i <= v; i++) {
if (table[i] == 0) {
q.offer(i);
}
}
// 큐가 빌 때까지 반복
while (!q.isEmpty()) {
// 큐에서 원소 꺼내기
int now = q.poll();
// 해당 원소와 연결된 노드들
for (int i = 0; i < graph.get(now).size(); i++) {
//진입차수 1씩 제거
table[graph.get(now).get(i)] -= 1;
// 진입차수가 0인 값은 큐에 삽입
if (table[graph.get(now).get(i)] == 0) {
q.offer(graph.get(now).get(i));
}
}
System.out.print(now+" ");
}
}
public static void main(String[] args) {
Scanner sc = new Scanner(System.in);
v = sc.nextInt();
e = sc.nextInt();
// 그래프 초기화
for (int i = 0; i <= v; i++) {
graph.add(new ArrayList<Integer>());
}
table = new int[v+1];
// 방향 그래프의 모든 간선 정보를 입력 받기
for (int i = 0; i < e; i++) {
int a = sc.nextInt();
int b = sc.nextInt();
graph.get(a).add(b); // 정점 A에서 B로 이동 가능
// 진입 차수를 1 증가
table[b] += 1;
}
topologySort();
}
}
'Study Platform📚 > (알고리즘)- [이코테] 이것이 코딩테스트다 정리' 카테고리의 다른 글
| [이코테]CHAPTER 09 최단 경로 알고리즘 - 플로이드워셜 알고리즘 - Python(파이썬),Java(자바) (0) | 2022.06.11 |
|---|---|
| [이코테] CHAPTER 09 최단 경로 알고리즘 - 다익스트라 최단 경로 알고리즘 (0) | 2022.05.23 |
| [이코테] CHAPTER 05 DFS/BFS - BFS(deque 메서드) - Python(파이썬),Java(자바) (0) | 2022.05.18 |
| [이코테]CHAPTER 05 DFS/BFS - 스택, 큐, 재귀함수, DFS (0) | 2022.05.17 |
| [이코테] CHAPTER 06 정렬 - 계수 정렬 (0) | 2022.05.16 |
댓글
이 글 공유하기
다른 글
-
[이코테]CHAPTER 09 최단 경로 알고리즘 - 플로이드워셜 알고리즘 - Python(파이썬),Java(자바)
[이코테]CHAPTER 09 최단 경로 알고리즘 - 플로이드워셜 알고리즘 - Python(파이썬),Java(자바)
2022.06.11 -
[이코테] CHAPTER 09 최단 경로 알고리즘 - 다익스트라 최단 경로 알고리즘
[이코테] CHAPTER 09 최단 경로 알고리즘 - 다익스트라 최단 경로 알고리즘
2022.05.23 -
[이코테] CHAPTER 05 DFS/BFS - BFS(deque 메서드) - Python(파이썬),Java(자바)
[이코테] CHAPTER 05 DFS/BFS - BFS(deque 메서드) - Python(파이썬),Java(자바)
2022.05.18 -
[이코테]CHAPTER 05 DFS/BFS - 스택, 큐, 재귀함수, DFS
[이코테]CHAPTER 05 DFS/BFS - 스택, 큐, 재귀함수, DFS
2022.05.17